13 年
手机商铺
公司新闻/正文
766 人阅读发布时间:2024-06-03 10:49
核酸是由许多核苷酸组成的,核苷酸是组成核酸的基本单位,即组成核酸分子的单体。

核苷酸由一个含氮的碱基链接一个戊糖构成,其上至少还附着一个磷酸基,戊糖是核糖或脱氧核糖,含氮碱基可以是嘌呤或者嘧啶。根据戊糖的不同可以将核酸分为脱氧核糖核酸(DNA)和核糖核酸(RNA)两大类。
DNA上的含氮碱基包括:腺嘌呤A(adenine)、胸腺嘧啶T(thymine)、胞嘧啶C(cytosine)和鸟嘌呤G(guanine)。
RNA上的含氮碱基包括:腺嘌呤A(adenine)、尿嘧啶U(uracil)、胞嘧啶C(cytosine)和鸟嘌呤G(guanine)。)

核苷酸失去磷酸基团时就称为核苷。许多核苷酸分子在相邻核糖单元的3’位和5’位通过磷酸二酯键结合在一起,就成为核酸。
核苷(Nucleoside)是一类糖苷的总称。核苷是核酸和核苷酸的组成成分。核苷都是由D-核糖或D-Z-脱氧核糖与嘧啶碱或嘌呤碱缩合而成。
构成RNA的核苷是核糖核苷,主要有腺苷AMP、鸟苷GMP、胞苷CMP和尿苷UMP。构成DNA的核苷是脱氧核糖核苷,主要有脱氧腺苷dAMP、脱氧鸟苷dGMP、脱氧胞苷dCMP和脱氧胸腺苷dTMP。
核糖分子中的碳原子(C1)与嘧啶分子中的氮原子(N1)或嘌呤分子中的氮原子(N9)之间形成苷键,生成N-糖苷,即嘧啶或嘌呤的呋喃核糖苷,称为核糖核苷。2-脱氧核糖分子中的碳原子(C1)与嘧啶分子中的氮原子(N1)或嘌呤分子中的氮原子(N9)之间形成苷键,成为嘧啶或嘌呤的呋喃脱氧核糖苷,称为脱氧核糖核苷。例如,腺嘌呤连接到核糖上,生成腺嘌呤-9-β-D-呋喃核糖核苷,称为腺嘌呤核苷;胸腺嘧啶连接到2′-脱氧核糖上,生成胸腺嘧啶-1-β-D-2′-脱氧呋喃核糖核苷,称为胸腺嘧啶核苷。
常见的核苷有:尿嘧啶核苷(尿嘧啶-1-β-D-呋喃核糖核苷)、腺嘌呤核苷(腺嘌呤-9-β-D-呋喃核糖核苷)、胞嘧啶核苷(胞嘧啶-1-β-D-呋喃核糖核苷)、鸟嘌呤核苷(鸟嘌呤-9-β-D-呋喃核糖核苷)、胸腺嘧啶核苷(胸腺嘧啶-1-β-D-2′-脱氧呋喃核糖核苷)。

核苷三磷酸(NTP),别称三磷酸核苷。它是核苷酸的几种结构之一,根据核苷酸分子中的磷酸基个数,核苷酸分子结构有一磷酸核苷(NMP)、二磷酸核苷(NDP)及三磷酸核苷(NTP)
核苷是由嘌呤或嘧啶碱基与核糖形成的缩合物,这种缩合物的核糖上的五位羟基再与三聚磷酸成脂,就形成三磷酸核苷,比如:ATP三磷酸腺苷、GTP三磷酸鸟苷、CTP三磷酸胞苷和UTP三磷酸尿苷,同时,他们也是核苷酸的合成前身物,对应腺嘌呤核苷酸(腺苷酸,AMP)、鸟嘌呤核苷酸(鸟苷酸,GMP)、胞嘧啶核苷酸(胞苷酸, CMP)、尿嘧啶核苷酸(尿苷酸,UMP)
腺嘌呤核苷三磷酸(简称三磷酸腺苷),是一种不稳定的高能化合物,由腺嘌呤、核糖和3个磷酸基团连接而成。又称腺苷三磷酸,简称ATP。

三磷酸鸟苷 (Guanosine triphosphate, GTP)即鸟嘌呤-5'-三磷酸。GTP是DNA复制时的引物(Primer,其实是RNA)和转录(即是mRNA的生物合成)时的鸟嘌呤核苷酸的提供者。它是三羧酸循环中琥珀酸辅酶A转变为琥珀酸过程中的能量载体,它可以和ATP相互转换。GTP也是细胞信号传导的重要物质,在此过程中它会在GTPase作用下转化为GDP。

三磷酸胞苷缩写为CTP,经UTP氨化由酶催化合成,是一种在胞苷的核糖-5′-OH基上结合三分子磷酸的核苷酸。有二个高能磷酸键。是RNA生物合成的直接前体之一。参与某种多糖的合成。通过 UTP的氨基化为酶所合成。在生物合成卵磷脂、PHOSPHATIDYLETHANOLAMINE等的磷脂质时,CTP与磷酸胆碱、O-PHOSPHORYLETHANOLAMINE作用,酶促生成胞苷二磷酸胆碱和Cytidine Diphosphate EthanolaMine (CDPEA)。

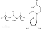
三磷酸尿苷(简称为UTP)是3分子的磷酸结合在尿苷的核糖5′-OH基上的核苷酸分布广泛,是RNA合成的直接前体。
