上海甄准生物科技有限公司品牌商

13

手机商铺

qrcode
商家活跃:
产品热度:
  • NaN
  • 0
  • 0
  • 2
  • 2
品牌商

上海甄准生物科技有限公司

入驻年限:13

  • 联系人:

    孙经理19921389125

  • 所在地区:

    上海 浦东新区

  • 业务范围:

    试剂、ELISA 试剂盒

  • 经营模式:

    经销商 代理商 科研机构

在线沟通

公司新闻/正文

黄酮类化合物的结构及作用

1753 人阅读发布时间:2024-09-03 09:15

黄酮类化合物(flavonoids),原是指以2-苯基色原酮为骨架衍生的一类化合物的总称。现泛指两个苯环通过三个碳原子相互连接而成的一系列化合物的总称,即具有C6-C3-C6结构的一类化合物的总称。

黄酮类化合物的结构及作用 

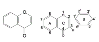
结构类型

黄酮类化合物大部分为色原酮的衍生物.其基本母核为2一苯基色原酮,由A、B和C三个环组成。根据苯环与中间的二碳部分的连接方式、B环连接位置、三碳部分氧化水平以及聚合度等不同。可将天然黄酮类化合物分为多个类型,分别为黄酮、黄酮醇、二氢黄酮、二氢黄酮醇、异黄酮、二氢异黄酮、查耳酮、二氢查耳酮、橙酮、花色素、芦丁、儿茶素、大豆素等。

其基本母核结构见下表。

黄酮类化合物的结构及作用​ 

黄酮类化合物除少数游离外,大多与糖结合成苷。糖基多连在C8或C6位置上,连接的糖有单糖(葡萄糖、半乳糖、鼠李糖等),双糖(槐糖、龙胆二糖、芸香糖等)、三糖(龙胆三糖、槐三糖等)与酰化糖(2-乙酰葡萄糖等)。

天然黄酮类化合物除大多数为O-苷外,还发现有C-苷(如葛根素)存在。

作用

黄酮类化合物是一类以黄酮(2-苯基色原酮)为母核而衍生的一类黄色色素,具有多种生物学作用,这些作用主要基于其独特的化学结构和生物活性。以下是黄酮类化合物的主要作用:

 

1.抗氧化作用:

黄酮类化合物结构中含有酚羟基,这些酚羟基能与自由基反应生成较稳定的半醌式自由基,从而有效地清除自由基。这种抗氧化作用有助于减少氧化应激,保护细胞免受损伤,延缓衰老过程,并保护皮肤等组织免受自由基的侵害。

2.抑制肿瘤作用:

已有许多离体、动物及人群研究资料揭示了黄酮类化合物,特别是茶多酚和大豆异黄酮的抑制肿瘤作用。这些化合物能够诱发癌细胞和肿瘤细胞的凋亡,发挥抗癌抗肿瘤作用,而对正常组织细胞的凋亡起延缓作用。

3.保护心血管作用:

黄酮类化合物在防治心血管疾病方面表现出色。它们能够降低血管的脆性,改善血管的通透性,降低血脂和胆固醇水平,从而减少冠心病、动脉粥样硬化的发生。此外,黄酮类化合物还能舒张血管,增加冠脉流量,对老年高血压、脑溢血等心血管疾病有防治作用。

4.抗炎作用:

黄酮类化合物具有显著的抗炎作用。它们能够减轻炎症反应,抑制炎症介质的生成和释放,从而缓解炎症症状。这种抗炎作用在多种疾病的治疗中都有潜在的应用价值。

5.降血糖作用:

部分黄酮类化合物具有降血糖作用。它们可以促进胰岛素的分泌,加快糖代谢,对辅助治疗糖尿病或高血糖有一定的帮助。

6.抗过敏作用:

黄酮类化合物还能够调节免疫系统的功能,抑制过敏反应的发生。这对于过敏性疾病的治疗可能有一定的益处。

7.其他作用:

黄酮类化合物还具有止咳、祛痰、平喘及抗菌的活性。同时,它们还具有护肝、解肝毒、抗真菌、治疗急慢性肝炎和肝硬化的作用。此外,黄酮类化合物还具有与植物雌激素相同的作用,能够影响性激素的分泌和代谢。

上一篇

植物激素的分类及作用机制

下一篇

上海甄准色度参比溶液,符合药典标准

更多资讯

我的询价