14 年
手机商铺
公司新闻/正文
2636 人阅读发布时间:2024-11-22 15:16
糖脂是指含有糖基配体的脂类化合物。它是一类两亲性分子,在生物体内广泛存在。糖脂包括鞘糖脂和甘油糖脂,以鞘糖脂为主。
鞘糖脂
结构
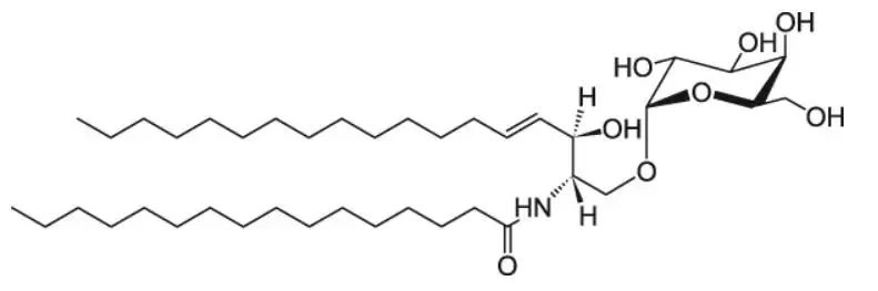
由鞘氨醇、长链脂肪酸和极性基团的头部组成。
鞘氨醇是长链的带有氨基的二醇,链长约18碳原子左右。
长链脂肪酸链长约18~26碳原子,以酰胺键与鞘氨醇相结合,称为神经酰胺。
极性基团通常联接在鞘氨醇第一个碳原子的羟基上,因极性基团不同,形成不同类型的鞘脂,如含有磷酸的称为鞘磷脂,含有糖基的则称为鞘糖脂。

鞘糖脂-神经酰胺的1位羟基被糖基化形成的化合物
C16 Galactosyl(α) Ceramide (d18:1/16:0)
功能
1. 结构支持和细胞保护:鞘糖脂是细胞膜的主要组成成分之一,它们与磷脂类似,可以形成双层结构,使细胞膜具有较高的稳定性。鞘糖脂的存在可以增加细胞膜的机械强度,防止膜的破裂,并参与细胞膜的修复过程。
2. 信号传导与细胞通讯:鞘糖脂通过与膜上的信号分子结合,参与细胞内外的信号传导过程。例如,鞘糖脂的一种重要成员神经鞘糖脂在神经元膜上起着重要的信号传导作用,参与神经元之间的通讯和突触的形成与功能维持。
3.细胞识别与黏附:鞘糖脂在细胞表面呈现出特异的糖基结构,可以与其他细胞或分子特异性地结合。这种细胞识别与黏附功能在细胞间的相互作用、组织形成、免疫应答等生理过程中起着重要的作用。
4. 脂质代谢与能量储存:鞘糖脂是一种脂质类物质,可以作为能量的储存形式存在。在饥饿状态下,细胞内的鞘糖脂可以被分解产生能量供细胞使用。此外,鞘糖脂还参与脂质代谢过程,调节体内脂质的合成、分解和转运。
5. 免疫调节与炎症反应:鞘糖脂在免疫系统中具有重要的调节作用。一些鞘糖脂可以作为免疫细胞的信号分子,调节免疫细胞的增殖、分化和功能。鞘糖脂还参与炎症反应的调节,对细胞因子的产生和炎症介质的释放起着调节作用。
6. 神经保护与神经发育:鞘糖脂在神经系统中具有重要的功能。神经鞘糖脂能够包裹神经轴突形成髓鞘,提高神经冲动传导速度。此外,鞘糖脂还参与神经发育过程,调节神经元的迁移、分化和突触的形成。
7. 抗氧化与抗衰老:鞘糖脂具有一定的抗氧化能力,可以清除体内的自由基,减少氧化应激对细胞的损伤。鞘糖脂还能够促进细胞的修复与再生,延缓细胞老化的过程。
甘油糖脂
结构
主链是甘油,含有脂肪酸,但不含磷及胆碱等化合物。
不仅有二酰基油酯,也有1-酰基的同类物。
自然界存在的糖脂分子中的糖主要有葡萄糖、半乳糖,脂肪酸多为不饱和脂肪酸。

功能
1.抗氧化活性:实验发现甘油糖脂M874B还能够保护由于加热和外部的H2O2所引起的细胞死亡,能够消除由H2O2释放的羟基自由基,这说明MGDG(如M874B)是一种新型的氧自由基清除剂,能够清除某些活性氧分子。M874B之所以具有清除羟自由基和过氧化氢自由基的活性,跟它含有的半乳糖基结构有关,增加一个或减少一个半乳糖基,即使酰基不同,都会失去活性。
2.对酶的抑制作用:20世纪80年代以来,人们发现从不同生物中分离的硫代异鼠李糖甘油二酯(SQDG)能强烈抑制哺乳动物DNA聚合酶α,DNA聚合酶β和末端脱氧核苷转移酶(TdT)的活性,中度抑制人类免疫缺陷病毒反转录酶HIV-RT活性,并且这些抑制效应是剂量依赖的;抑制效应还与脂肪酸链长和SQDG上的磺酸基团有关。然而硫脂并不抑制原核生物明DNA聚合酶。
3.抗菌作用:从菊科植物的根茎中分离得到三种甘油糖脂,活性检测表明它们对枯草芽孢杆菌、大肠杆菌具有明显的抑制作用。
4.溶血活性:从两种有毒的海洋甲藻中分离到一些甘油糖脂,包括MGDG、DGDG,它们都具有溶血活性。从亚热带水域的海洋深处收集到的9种甲藻实验发现对小鼠具有较高的致死率、鱼毒性和溶血性,其中从卡特前沟藻中分离到的溶血性物质为MGDG和DGDG 。
5.其它:其它生物活性还包括抗炎、抗癌、免疫活性等。