13 年
手机商铺
公司新闻/正文
631 人阅读发布时间:2024-05-15 15:29
鞘脂:分为鞘磷脂、鞘糖脂和神经节苷脂3个亚类。
鞘磷脂(Sphingomyelins)是含鞘氨醇或二氢鞘氨醇的磷脂,其分子不含甘油,是一分子脂肪酸以酰胺键与鞘氨醇的氨基相连。鞘氨醇或二氢鞘氨醇是具有脂肪族长链的氨基二元醇。
鞘糖脂(Glycosphingolipids)是动物体内发现的主要糖脂。鞘糖脂,又称糖神经胺醇脂,属鞘脂的一类,由非脂的糖基部分与神经鞘氨醇相连构成。
鞘糖脂又分为中性鞘糖脂和酸性鞘糖脂,前者糖基不含唾液酸,后者则因含硫酸化糖基或唾液酸而显酸性。
神经节苷脂(gangliosides):糖基部分含有唾液酸的鞘糖脂,常称为神经节苷脂。
神经酰胺(Ceramide)是由长链脂肪酸与鞘氨醇的氨基经脱水而形成的一类酰胺化合物。神经酰胺的1位羟基与一分子磷酸胆碱以酯键相连则成为鞘磷脂。

本期主要介绍鞘脂
鞘氨醇又称神经鞘氨醇,是含有不饱和烃基的十八碳氨基醇,学名:2-氨基-4-十八烯-1,3二醇。

二氢鞘氨醇又称神经二氢鞘氨醇

植物鞘氨醇又称4-羟基双氢神经鞘氨醇

鞘氨醇+长链脂肪酸=神经酰胺
C12 Ceramide (d18:1/12:0)

二氢鞘氨醇+长链脂肪酸=二氢神经酰胺
C12 Dihydroceramide (d18:0/12:0)

植物鞘氨醇+长链脂肪酸=植物双氢神经酰胺
N-16:0 Phytosphingosine

鞘磷脂-神经酰胺的1位羟基与一分子磷酸胆碱以酯键相连则成为鞘磷脂。
24:1 CPE (d18/24:1)

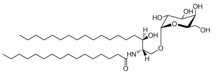
鞘糖脂-神经酰胺的1位羟基被糖基化形成的化合物。
C16 Galactosyl(α) Ceramide (d18:1/16:0)

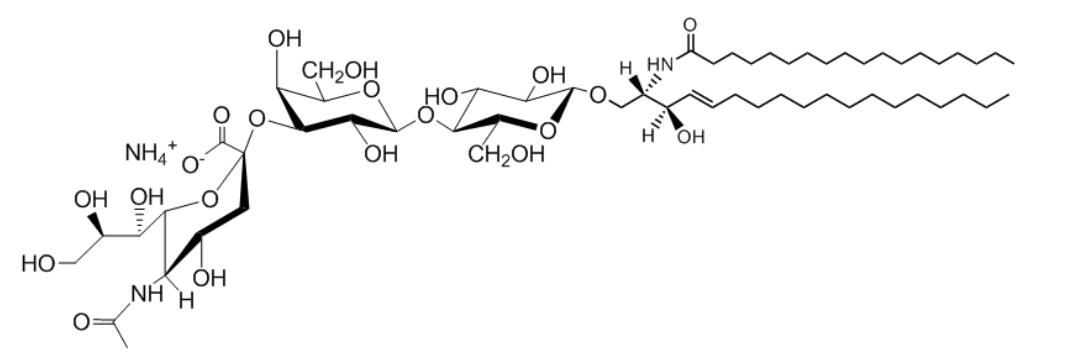
神经节苷脂是糖基含唾液酸的鞘糖。
唾液酸是9-碳单糖的衍生物,又称N-乙酰基神经氨酸

神经节苷脂的命名:
(1) 用大写的“G”表示神经节苷脂;
(2) 用A,M,D,T,Q,P,H,S分别表示含0-7个唾液酸;
(3) 用(5-糖个数)之差表示糖基数
C18:0 GM3

上海甄准可供为鞘磷脂、鞘糖脂、神经酰胺和神经节苷脂。随货提供COA,详情请咨询。