13 年
手机商铺
公司新闻/正文
328 人阅读发布时间:2024-05-15 15:33
磷脂(Phospholipid),也称磷脂类、磷脂质,是指含有磷酸的脂类,属于复合脂。磷脂是组成生物膜的主要成分,分为甘油磷脂与鞘磷脂两大类,分别由甘油和鞘氨醇构成。
磷脂为两性分子,一端为亲水的含氮或磷的头,另一端为疏水(亲油)的长烃基链。由于此原因,磷脂分子亲水端相互靠近,疏水端相互靠近,常与蛋白质、糖脂、胆固醇等其它分子共同构成磷脂双分子层,即细胞膜的结构。
1. 磷酸甘油酯(phosphoglycerides)主链为甘油-3-磷酸,甘油分子中的另外两个羟基都被脂肪酸所酯化,磷酸基团又可被各种结构不同的小分子化合物酯化后形成各种磷酸甘油酯。体内含量较多的是磷脂酰胆碱、脑磷脂、磷脂酰丝氨酸、磷脂酰甘油、二磷脂酰甘油(心磷脂)及磷脂酰肌醇等,每一磷脂可因组成的脂肪酸不同而有若干种。

2. 鞘磷脂(sphingomyelin)鞘磷脂是含鞘氨醇或二氢鞘氨醇的磷脂,其分子不含甘油,是一分子脂肪酸以酰胺键与鞘氨醇的氨基相连。鞘氨醇或二氢鞘氨醇是具有脂肪族长链的氨基二元醇。鞘氨醇或二氢鞘氨醇有长链脂肪烃基构成的疏水尾和两个羟基及一个氨基构成的极性头。


本期主要介绍磷酸甘油酯
甘油的C1和C2上的羟基被脂肪酸酯化,C3上的羟基被磷酸酯化,磷酸又与一极性醇(X—OH)连接,这就构成甘油磷脂。分子的非极性尾含有两个脂肪酸长链,甘油碳架上的C1连结的常是含16或18个碳原子的饱和脂肪酸,其C2则常被16~20个碳原子的不饱和脂肪酸占据。磷酰—X组成甘油磷脂的极性头,故甘油磷脂可根据极性头醇(X—OH)的不同进行分类。X=H构成最简单的甘油磷脂,叫做磷脂酸,它在生物膜中仅有少量。通常存在于生物膜中的甘油磷脂都有极性头。
根据极性头部基团的不同区分为磷脂酰胆碱(Phosphatidyl cholines,PC),(Phosphatidyl ethanolamines,PE),磷脂酰丝氨酸(Phosphatidyl serines,PS), 磷脂酰肌醇(Phosphatidyl inositols,PI),磷脂酰甘油(PG),甘油磷脂酸(phosphatidic acid,PA)等。
①胆碱(choline) + 磷脂酸 ——→ 磷脂酰胆碱(phosphatidyl choline)又称lecithin。
天然来源的磷脂酰胆碱 EggPC

18:1 PC

18:2 LPC
②ethanolamine + 磷脂酸 ——→phosphatidyl ethanolamine又称脑磷脂(cephain)。
天然来源的 EggPE

18:0/20:4 PE

18:0 LPE 
③丝氨酸(serine) + 磷脂酸 ——→ 磷脂酰丝氨酸(phosphatidyl serine)
天然来源的磷脂酰丝氨酸 Soy PS

16:0/18:1 PS

18:0 Lyso PS

④甘油(glycerol) + 磷脂酸 ——→ 磷脂酰甘油(phosphatidyl glycerol)。
天然来源的磷脂酰甘油 Egg PG

16:0/18:1 PG
16:0 LysoPG
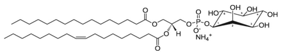
⑤肌醇(inositol) + 磷脂酸 ——→ 磷脂酰肌醇(phosphatidyl inositol)
天然来源的磷脂酰甘油 Soy PI

16:0/18:1 PI

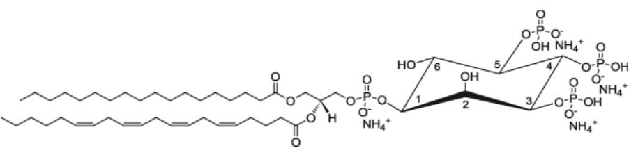
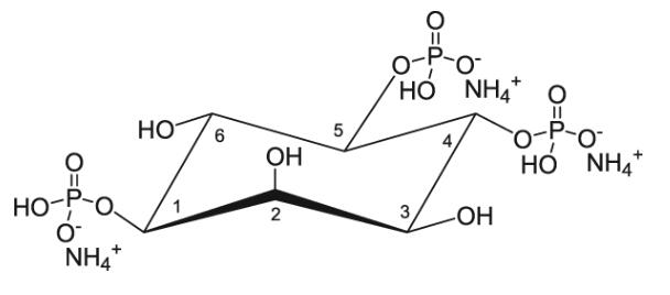
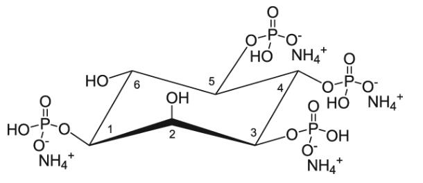
18:0/20:4 PI(3,4,5)P3

肌醇磷酸盐 Inositol Phosphates
IP3(1,4,5)

IP4(1,3,4,5)

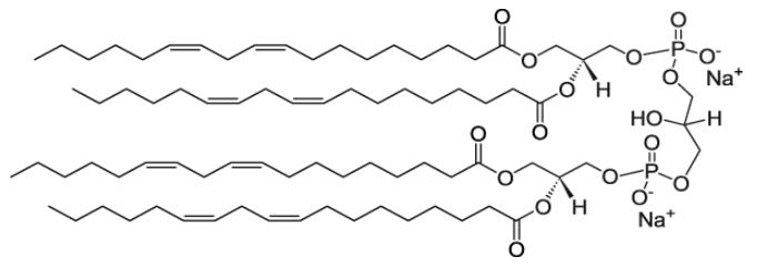
⑥二磷脂酰甘油,心磷脂(cardiolipin)是由甘油的C1和C3与两分子磷脂酸结合而成,是线粒体内膜和细菌膜的重要成分。

心磷脂


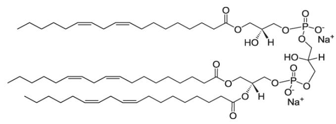
单溶血性心磷脂


双溶血性心磷脂


⑦磷脂酸PA
天然来源磷脂酸 EggPA

16:0/22:6PA
14:0 LysoPA
⑧除以上7种以外,在甘油磷脂分子中甘油第1位的脂酰基被长链醇取代形成醚,如缩醛磷脂(plasmalogen)及血小板活化因子(platelet activating factor,PAF),它们都属于甘油磷脂。
上海甄准可供饱和/不饱和/混酰基/溶血性/天然来源磷酸甘油酯。
产品随货均提供COA。